融媒中心讯/近日,福州大学物理与信息工程学院量子信息与量子光学实验室郑仕标课题组在超导电路体系中观测到了临界量子增强效应,研究结果发表于国际权威期刊Science Advances。

临界系统在量子相变点附近对哈密顿控制参量的变化异常敏感,因此人们预测其可用于计量学精度的提升。但是,将所感兴趣的物理量映射到某临界行为需要花费极长的时间,这构成了在实验上实现临界加强的量子计量学的一个挑战。
量子信息与量子光学实验室郑仕标课题组利用受驱动Jaynes-Cummings模型的临界行为,提出了可有效克服这个问题的方案。该物理模型包含相互作用的一个量子比特和一个玻色模,信号场耦合到其中的玻色模。关于信号场幅度的信息映射到系统暗态中量子比特的激发数上,该物理量在临界点呈现出发散的变化率。这种临界传感器的最显著特征是其性能对退相干噪声和非绝热效应导致的暗态泄露不敏感。
课题组在电路量子电动力学系统中实施了这种临界传感方案,其中一个超导量子比特与一个微波谐振器相互耦合。信号场耦合到谐振器上,从而实现受驱动Jaynes-Cummings模型。超导量子比特作为探针,用于估计该信号场的幅度。所测量的量子费舍尔信息呈现出临界量子加强,证实了该系统在量子计量学方面的应用价值。


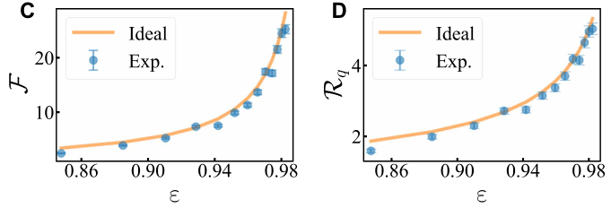
临界量子传感方案
(A)物理模型;(B)准能谱;(C)量子费舍尔信息vs微波场振幅ε;(D)信噪比vsε。
福州大学物理与信息工程学院的博士生吕家豪以及宁文、吴凡博士为论文的共同第一作者,郑仕标、吴怀志以及杨贞标教授为论文的共同通信作者。
该研究成果受到科技部重大项目、国家自然科学基金、福州大学“双一流”建设项目和“物理学科”专项支持。
论文链接:https://www.science.org/doi/10.1126/sciadv.ady2358